k8凯发(中国)天生赢家·一触即发

K8凯发制药 K8凯发制药

相关链接
瑞琪®
枸橼酸莫沙必利片

通用名称:枸橼酸莫沙必利片

商品名称:瑞琪

英文名称:Mosapride Citrate Tablets

汉语拼音:Juyuansuan Moshabili Pian

枸橼酸莫沙必利片
【药品名称】

通用名称:枸橼酸莫沙必利片

商品名称:瑞琪

英文名称:Mosapride Citrate Tablets

汉语拼音:Juyuansuan Moshabili Pian

【成份】本品主要成份为枸橼酸莫沙必利
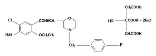
化学名称 :4-氨基 -5-氯-2-乙氧基 - N-[[4 -(4-氟苄基) -2-吗啉基 ]甲基 ]苯甲酰胺枸橼酸盐二水合物。

化学结构式:

分子式 :C21 H25 ClFN3O3•C6H8O7•2H2O
分子量: 650.05
【性状】本品为白色或类白色薄膜衣片,除去薄膜衣片后显白色或类白色。
【适应症】本品为消化道促动力剂,主要用于功能性不良伴有胃灼热、嗳气、恶心、呕吐、早饱、上腹胀等消化道症状;也可用于胃食管反流性疾病、糖尿病性胃轻瘫及部分胃切除患者的功能障碍。
【规格】5mg(按 C21 H25 ClFN3O3•C6H8O7计算 )。
【用法用量】

口服,一次5 mg(1片),一日 3次,饭前服用。

注:详情请见产品说明书