k8凯发(中国)天生赢家·一触即发

K8凯发制药 K8凯发制药

相关链接
恒丹®
头孢地尼胶囊

通用名称:头孢地尼胶囊

商品名称:恒丹

英文名称:Cefdinir Capsules

汉语拼音:Toubaodini Jiaonang

头孢地尼胶囊
【药品名称】

通用名称:头孢地尼胶囊

商品名称:恒丹

英文名称:Cefdinir Capsules

汉语拼音:Toubaodini Jiaonang

【成份】本品主要成份为头孢地尼。
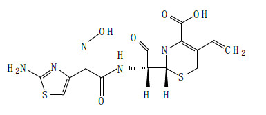
化学名称:(6R,7R)-7-[[(2-氨基-4-噻唑基)-(肟基)乙酰基]氨基]-3-乙烯基-8-氧代-5-硫杂-1-氮杂双环[4.2.0]辛-2-烯-2-羧酸

化学结构式:

分子式:C14H13N5O5S2
分子量:395.42
【性状】本品内容物为淡黄色或黄色粉末或颗粒。
【适应症】对头孢地尼敏感的葡萄球菌属、链球菌属、肺炎球菌、消化链球菌、丙酸杆菌、淋病奈瑟氏菌、卡他莫拉菌、大肠埃希菌、克雷伯菌属、奇异变形杆菌、普鲁威登斯菌属、流感嗜血杆菌等菌株所引起的感染。
咽喉炎、扁桃体炎、急性支气管炎、肺炎;中耳炎、鼻窦炎;
肾盂肾炎、膀胱炎、淋菌性尿道炎;
附件炎、宫内感染、前庭大腺炎;
乳腺炎、肛门周围脓肿、外伤或手术伤口的继发感染;
毛囊炎、疖、疖肿、痈、传染性脓疱病、丹毒、蜂窝组织炎、淋巴管炎、甲沟炎、皮下脓肿、粉瘤感染、慢性脓皮症;
眼睑炎、麦粒肿、睑板腺 炎
【规格】0.1g
【用法用量】

口服。
成人服用的常规剂量为一次0.1g(一粒),一日3次。
剂量可依年龄、症状进行适量增减,或遵医嘱。

注:详情请见产品说明书