k8凯发(中国)天生赢家·一触即发

K8凯发制药 K8凯发制药

相关链接
盖诺®
酒石酸长春瑞滨注射液

通用名称:酒石酸长春瑞滨注射液

商品名称:盖诺

英文名称:Vinorelbine Tartrate Injection

汉语拼音:Jiushisuan Changchunruibin Zhusheye

酒石酸长春瑞滨注射液
【药品名称】

通用名称:酒石酸长春瑞滨注射液

商品名称:盖诺

英文名称:Vinorelbine Tartrate Injection

汉语拼音:Jiushisuan Changchunruibin Zhusheye

【成份】本品活性成份为酒石酸长春瑞滨
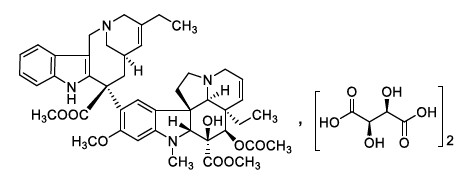
化学名称:3’,4’-二去氢-4’-去氧-8’-去甲长春碱二酒石酸盐

化学结构式:

分子式:C45H54N4O8•2C4H6O6
分子量:1079.12
辅料:注射用水
【性状】本品为无色至微黄色澄明液体。
【适应症】—非小细胞肺癌。
—转移性 转移性 乳腺癌 乳腺癌 。
【规格】1ml:10mg(按 C45H54N4O8计)
【用法用量】

本品仅供静脉使用
单药治疗的常用量为25~30 mg/m2,每周一次 。
在第 1、8天各给药 1次, 21天为一周期。 2~3周期为一疗程。

注:详情请见产品说明书