k8凯发(中国)天生赢家·一触即发

K8凯发制药 K8凯发制药

相关链接
泽坦®
注射用替加环素

通用名称:注射用替加环素

商品名称:泽坦

英文名称:Tigecycline for Injection

汉语拼音:Zhusheyong Tijiahuansu

注射用替加环素
【药品名称】

通用名称:注射用替加环素

商品名称:泽坦

英文名称:Tigecycline for Injection

汉语拼音:Zhusheyong Tijiahuansu

【成份】本品主要成份为替加环素。
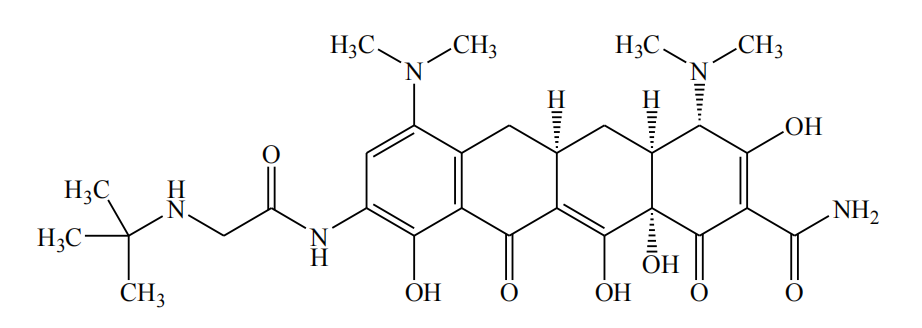
化学名称:(4S,4aS,5aR,12aS)-9-(2-叔丁基氨基乙酰氨基)-4,7-双二甲氨基-1,4,4a,5,5a,6,11,12a-八氢-3,10,12,12a-四羟基-1,11-二氧代-2-并四苯甲酰胺

化学结构式:

分子式:C29H39N5O8
分子量:585.65
辅  料:乳糖、盐酸
【性状】本品为橙色疏松块状物或粉末。
【适应症】1、 成人及 18 岁以上患者
本品适用于 18 岁及以上患者在下列情况下由特定细菌的敏感菌株所致的感染,包括:
1)复杂性腹腔内感染(cIAI)——由敏感的弗劳地枸橼酸杆菌、阴沟肠杆菌、大肠埃希菌、产酸克雷伯菌、肺炎克雷伯菌、粪肠球菌(仅限于万古霉素敏感菌株)、金黄色葡萄球菌(甲氧西林敏感菌株和甲氧西林耐药菌株)、咽颊炎链球菌族(包括咽颊炎链球菌、中间链球菌和星座链球菌)、脆弱拟杆菌、多形拟杆菌、单形拟杆菌、普通拟杆菌、产气荚膜梭菌和微小消化链球菌等引起的复杂性腹腔内感染。
2)复杂性皮肤和皮肤软组织感染(cSSSI)——由敏感的大肠埃希菌、粪肠球菌(万古霉素敏感菌株)、金黄色葡萄球菌(甲氧西林敏感菌株及耐药菌株)、无乳链球菌、咽峡炎链球菌族(包括咽峡炎链球菌、中间链球菌和星座链球菌)、化脓性链球菌、阴沟肠杆菌、肺炎克雷伯菌和脆弱拟杆菌等引起的复杂性皮肤和皮肤软组织感染。
3)社区获得性细菌性肺炎——由敏感的肺炎链球菌 (青霉素敏感菌株),包括伴发菌血症者、流感嗜血杆菌和嗜肺军团菌等引起的社区获得性细菌性肺炎。
2、 8 岁以上儿童患者
由于在成年患者的研究中观察到接受替加环素治疗者的死亡率增加,未进一步评价儿童应用替加环素的疗效与安全性,因此,不推荐 18 岁以下儿童使用。
对于无其他药物可用的感染,经有经验的感染科医生或临床医生讨论后,本品适用于治
疗 8 岁及以上儿童患者在下列情况下由特定细菌的敏感菌株所致感染,包括:
1)复杂性腹腔内感染(cIAI)——由敏感的弗劳地枸橼酸杆菌、阴沟肠杆菌、大肠埃希菌、产酸克雷伯菌、肺炎克雷伯菌、粪肠球菌(仅限于万古霉素敏感菌株)、金黄色葡萄球菌(甲氧西林敏感菌株和甲氧西林耐药菌株)、咽颊炎链球菌族(包括咽颊炎链球菌、中间链球菌和星座链球菌)、脆弱拟杆菌、多形拟杆菌、单形拟杆菌、普通拟杆菌、产气荚膜梭菌和微小消化链球菌等引起的复杂性腹腔内感染。
2)复杂性皮肤和皮肤软组织感染(cSSSI)——由敏感的大肠埃希菌、粪肠球菌(万古霉素敏感菌株)、金黄色葡萄球菌(甲氧西林敏感菌株及耐药菌株)、无乳链球菌、咽峡炎链球菌族(包括咽峡炎链球菌、中间链球菌和星座链球菌)、化脓性链球菌、阴沟肠杆菌、肺炎克雷伯菌和脆弱拟杆菌等引起的复杂性皮肤和皮肤软组织感染。
用药限制
仅在已知和怀疑不宜使用其他抗菌药物治疗时才使用本品治疗。
替加环素不适用于治疗糖尿病足感染。在一项临床研究中未能证实替加环素治疗糖尿病足感染的非劣效性。
替加环素不适用于治疗医院获得性或呼吸机相关性肺炎。在一项对照临床研究中,替加环素治疗患者死亡率增加和疗效降低。
由于在成年患者的研究中观察到接受替加环素治疗者的死亡率增加,因此未进一步评价儿童应用替加环素的疗效与安全性。鉴于临床经验十分有限,对于 8 岁及以上儿童患者,替加环素仅限于治疗其它抗生素不适用的复杂感染,并需经过有经验的临床医生讨论后方可使
用。
为了分离、鉴定病原菌并明确其对替加环素的敏感性,应该留取合适标本进行细菌学检测。在尚未获知这些试验结果之前,可采用本品作为经验性单药治疗。
为了减少耐药细菌的出现并维持本品及其他抗菌药物的有效性,本品应该仅用于治疗确诊或高度怀疑细菌所致的感染。一旦获知培养及药敏试验结果,应该据之选择或调整抗菌药物治疗。缺乏此类资料时,可根据当地流行病学和敏感性模式选用经验性治疗药物。
【规格】50 mg
【用法用量】
1、剂量和用法
成人用药
静脉滴注,推荐的给药方案为首剂 100mg,然后,每 12 小时 50mg。替加环素的静脉滴注时间应该每 12 小时给药一次,每次约 30~60 分钟。
替加环素用于治疗复杂性皮肤和皮肤软组织感染或复杂性腹腔内感染的推荐疗程为5~14 天,治疗社区获得性细菌性肺炎的推荐疗程为 7~14 天。治疗疗程应该根据感染的严重程度及部位、患者的临床和细菌学进展情况而定。
轻至中度肝功能损害(Child Pugh 分级 A 和 B 级)患者无需调整剂量。根据重度肝功能损害患者包括儿童(Child Pugh 分级 C 级)的药代动力学特征,替加环素的剂量应降低50%。成人调整为起始剂量 100mg,然后维持剂量降低为每 12 小时 25mg。重度肝功能损害患者(Child Pugh 分级 C 级)应谨慎用药并监测治疗反应。
肾功能损害或接受血液透析患者无需对替加环素进行剂量调整。
2)儿童用药
8 岁及以上儿童患者:
替加环素仅限于治疗其它抗生素不适用的复杂感染,并需经过有经验的临床医生讨论后方可使用,建议参考以下剂量:
·8~11 岁儿童患者应每 12 小时静脉输注 1.2 mg/kg 替加环素,最大剂量为每 12 小时输注 50 mg 替加环素。疗程 5~14 天。
·12~17 岁儿童患者应每 12 小时输注 50 mg 替加环素。疗程 5~14 天。
推荐的儿童剂量是基于药代动力学研究中观察到的暴露量,该研究中纳入了少量儿童患者。在儿童患者中,替加环素输注时间至少 60 分钟。
8 岁以下儿童:
尚未建立 8 岁以下儿童使用替加环素的安全性和有效性,目前缺乏数据。由于本品会造成牙齿变色,8 岁以下儿童禁用替加环素。
2、药品配制与处理
本品每瓶应该以 5.3ml 0.9%氯化钠注射液、5%葡萄糖注射液或者乳酸林格氏注射液进行配制,配制的替加环素溶液浓度为 10mg/ml。(注:每瓶超量 6%,因此 5ml 的配制溶液相当于 50mg 药物。)轻晃药瓶直至药物溶解。复溶溶液必须转移并进一步稀释,以供静脉输注。从药瓶中抽取 5ml 溶液加入含 100ml 液体的静脉输液袋中(100mg 剂量配制 2 瓶,50mg剂量配制 1 瓶)。静脉输液袋中药物的最高浓度应为 1mg/ml。配制的溶液颜色应呈黄色至橙色,如果不是,应将此溶液丢弃。注射用药物在给药之前应该肉眼检查是否存在不溶性微粒和变色(如绿色或黑色)。本品复溶后可在室温(不超过 25ºC)下贮藏达 24 小时(包括在本品小瓶包装中贮藏达 6 小时后在静脉输液袋袋中贮藏可达 18 小时)。一旦复溶后贮藏温度超过 25ºC,替加环素应立即被使用。相应地若以 0.9%氯化钠注射液或 5%葡萄糖注射液复溶后应立即转移至静脉输液袋,在 2~8℃冷藏条件下可贮藏 48 小时。
本品可通过专用输液管或 Y 型管静脉给药。如果同一输液管连续用于输注多种药物,应该在输注本品前后应用 0.9%氯化钠注射液或 5%葡萄糖注射液冲洗管线。经共用管线给药
应该使用与替加环素及其它任何药物相容的注射溶液。
3、相容性
相容的静脉输注溶液包括 0.9%氯化钠注射液、5%葡萄糖注射液和乳酸林格氏注射液。当使用 0.9%氯化钠注射液或 5%葡萄糖注射液通过 Y 型管给药时,本品与下列药物或稀释液相容:阿米卡星、多巴酚丁胺、盐酸多巴胺、庆大霉素、氟哌啶醇、乳酸林格氏溶液、盐酸利多卡因、甲氧氯普胺、吗啡、去甲肾上腺素、哌拉西林/三唑巴坦(EDTA 制剂)、氯
化钾、异丙酚、盐酸雷尼替丁、茶碱和妥布霉素。
4、不相容性
下列药物不应通过同一 Y 型管与替加环素同时给药:两性霉素 B、两性霉素 B 脂质体复合物、地西泮、艾美拉唑和奥美拉唑。