k8凯发(中国)天生赢家·一触即发

K8凯发制药 K8凯发制药

相关链接
迈灵达®
吗啉硝唑氯化钠注射液

通用名称:吗啉硝唑氯化钠注射液
商品名称:迈灵达
英文名称:Morinidazole Sodium Chlorride for Injection

汉语拼音:Malinxiaozuo Lühuana Zhusheye

吗啉硝唑氯化钠注射液
【药品名称】通用名称:吗啉硝唑氯化钠注射液
商品名称:迈灵达

英文名称:Morinidazole Sodium Chlorride for Injection

汉语拼音:Malinxiaozuo Lühuana Zhusheye

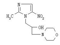
【成份】本品主要成份为吗啉硝唑。

化学名称:1-[3-(4-吗啉基)-2-羟丙基]-2-甲基-5-硝基-1H-咪唑。

分子式:C11H18N4O4
分子量:270.29
辅 料:氯化钠,注射用水。
【性状】本品为微黄绿色至黄绿色澄明液体。
【适应症】为了减少耐药菌的形成并确保吗啉硝唑和其他抗菌药物的有效性,吗啉硝唑应仅限用于治疗或预防已被证实或疑似易感病原体导致的感染。
若有细菌培养和药物敏感性试验的相关信息,应参考这些信息来选择或修改抗菌治疗方案。若没有这些信息,当地的流行病学和细菌敏感性数据等经验,可能有助于选择治疗方案。
需要说明的是,给药前应进行细菌培养和药敏试验以查明致病菌及其对吗啉硝唑的敏感性。采集标本后即可以开始使用吗啉硝唑,在获知药敏结果后再作相应的调整。
依据本品目前的临床试验数据,本品适用于敏感细菌引起的成人(≥18岁)下列感染:
1、妇科盆腔炎(包括子宫内膜炎、输卵管炎、输卵管卵巢脓肿、盆腔腹膜炎等):由包括消化链球菌、脆弱拟杆菌、韦荣球菌、吉氏拟杆菌等引起。
2、 联合手术治疗化脓性阑尾炎、坏疽性阑尾炎:由包括拟杆菌属(脆弱拟杆菌、卵形/多型拟杆菌、单形拟杆菌、普通拟杆菌、拟杆菌属),梭菌属(产气荚膜梭菌、双酶梭菌、丁酸梭菌及其他梭菌),梭杆菌属(具核梭杆菌、可变梭杆菌),厌氧球菌(消化链球菌、韦荣球菌)等引起。
由于盆腔炎、阑尾炎为厌氧菌和需氧菌的混合性感染,故应根据临床需要采取其他辅助治疗措施,如合并对需氧菌有效的药物等。
【规格】100ml:吗啉硝唑0.5g与氯化钠0.9g
【用法用量】剂量和给药方法:
1、妇科盆腔炎(包括子宫内膜炎、输卵管炎、输卵管卵巢脓肿、盆腔腹膜炎等)
静脉滴注,每次500mg,滴注时间为不少于45分钟,一天2次,给药间隔时间为6~8小时,连续给药14天。
2、化脓性阑尾炎、坏疽性阑尾炎
静脉滴注,每次500mg,滴注时间为不少于45分钟,一天2次,给药间隔时间为6~8小时,连续给药5~7天。
在完成手术准备,准备开腹前30分钟内开始给药。
使用指南:
本品为100ml单剂量钠钙玻璃输液瓶灌装,每瓶含0.5g吗啉硝唑与0.9g氯化钠。
本产品应遮光,密闭,置阴凉处(不超过20℃)保存。
使用前请仔细检查包装,应完好无损;内装溶液应澄清,无可见微粒。只要溶液和容器包装容许,给药前均应肉眼检查输注药品是否有颗粒物质及变色。
使用时去除外包装后,应目视检查是否存在微小渗漏。如果发现有漏液现象,则产品无菌性已被破坏,应禁止使用。
本品为即用型等渗溶液,使用前无需稀释。
使用前准备:
1、经由挂孔将输液瓶悬挂。
2、去除输液口保护帽。
3、连接输液器。
使用时注意:
本品只能作为连续或间歇性输液通过缓慢的静脉滴注给药,不应向本品中加入添加物,如果使用原来的静脉输液系统,吗啉硝唑输液期间应停止使用原来的溶液。